Как юз влияет на работу двигателя
Юз (англ. «use») – это режим эксплуатации автомобиля, при котором его двигатель работает на предельных оборотах и выше нормы. В режиме юз на машину оказывается повышенная нагрузка, что может приводить к необратимым последствиям для работы автомобиля.
Постоянная эксплуатация автомобиля в режиме юз может привести к износу цилиндров, поршней, клапанов и кольцевых штифтов. Одновременно с этим увеличивается расход топлива, а также вероятность возникновения поломок, что может привести к серьезным финансовым затратам на ремонт автомобиля.
Если часто используется торможение на двигателе (выжимание сцепления) или постоянно работаете в режиме гонок, то это также влияет на работу двигателя и на долговечность самой машины.
Если вы хотите продлить срок службы своего автомобиля, то рекомендуется ездить спокойно и не превышать норму оборотов двигателя. Также регулярно проводите технический осмотр машины, меняйте масло и фильтры вовремя и следите за состоянием автомобиля.
Преимущества и недостатки юза
Преимущества:
- Увеличение скорости движения машины;
- Максимальная экономия топлива;
- Снижение износа деталей двигателя и трансмиссии;
- Более комфортное управление автомобилем, особенно на горных дорогах.
Недостатки:
- Высокий риск повреждения двигателя, если машина в нем затрудняется заранее;
- Увеличение шума и вибраций во время передвижения, что может негативно сказаться на комфорте вождения;
- Большее напряжение на трансмиссию и сцепление;
- Сложность управления машиной на быстрой езде и на слишком пологом подъеме.
Таким образом, преимущества и недостатки юза в автомобилях следует учитывать при выборе способа вождения и поездки на дальние расстояния. Это может помочь сохранить жизненно важную энергию и увеличить безопасность на дорогах, когда машина работает на максимальной производительности.
Воздействие «юзов» на подвеску
«Юзы» интенсивно воздействуют на подвеску автомобиля. Повторяющаяся нагрузка на амортизаторы, стабилизаторы и иные детали подвески может привести к поломке.
Амортизаторы являются одними из основных элементов подвески, которые поглощают удары и колебания дорожного покрытия. «Юзы» увеличивают требования к работе амортизаторов, из-за чего они быстрее изнашиваются и выходят из строя.
Стабилизаторы также являются важными деталями подвески, которые предотвращают крен автомобиля во время поворота. Избыточные нагрузки на стабилизаторы могут вызывать их деформацию и повреждение.
Правильное обслуживание подвески и своевременная замена изношенных частей могут увеличить ее срок службы и уменьшить отрицательное воздействие «юзов».
Кроме того, важно выбирать качественные детали при замене подвески. Это поможет уменьшить риск поломок и повысить эффективность работы
Совет: Если вы часто ездите по плохой дороге или совершаете длительные поездки с большим весом груза, рекомендуется устанавливать на автомобиль жестче амортизаторы и пружины.
Важно: Не следует экономить на качестве подвески, ведь это может повлечь за собой серьезные последствия.
Особенности диагностики и устранения юза в автомобилях
Что такое юз в автомобиле?
Юз (или зазор) — это небольшой зазор между деталями двигателя, который неизбежен в процессе эксплуатации автомобиля и может приводить к неожиданным последствиям. В результате юза происходит появление износа на деталях двигателя, что может привести к снижению мощности двигателя, появлению посторонних звуков и потере степени сжатия в цилиндрах.
Как диагностировать юз в автомобиле?
Существует несколько способов диагностирования юза в автомобиле:
- Использование специального оборудования – приводнога механизма;
- Анализ масла двигателя – в моторном масле могут обнаруживаться следы износа деталей двигателя;
- Проверка уровня компрессии – уровень компрессии должен быть стабильным на всех цилиндрах двигателя.
Как устранить юз в автомобиле?
Устранение юза имеет несколько этапов:
- Диагностика – выявление причин возникновения юза;
- Разборка двигателя – начальный этап устранения юза;
- Ремонт деталей – замена деталей двигателя, на которых произошел юз;
- Сборка двигателя – установка деталей в правильном порядке.
Устранение юза в автомобиле является достаточно сложной и ответственной задачей, которая должна проводиться только профессионалами. Несвоевременное устранение юза может стать причиной дорогостоящего ремонта двигателя, а в некоторых случаях – и поломки двигателя в целом.
Признаки следов транспортного средства


Групповую принадлежность автотранспортного средства можно установить путем изучения следов пневматических шин по признакам, отображенным в следах. Основой такой идентификации является изучение беговой дорожки, колеи, базы, отпечатков рисунка протектора шины.
По состоянию колес в момент следообразования различают следы качения (образуются в результате поступательно-вращательного движения колес) и скольжения (появляются при полной блокировке колеса в процессе торможения или пробуксовке).
Беговая дорожка
Следы качения шины одного колеса (обычно заднего) в криминалистике называют беговой дорожкой. Механизм образования следов беговых дорожек сходен по механизму образования со статическими следами: каждая точка шины оставляет свой отпечаток. Однако вследствие поступательного движения происходит некоторая их деформация, при которой выступающие элементы при выходе из следа сглаживают его края, что увеличивает его размеры и уменьшает следы промежутков между выступающими элементами (грунтозацепами).
Отдельно измеряется ширина беговой дорожки левых колёс и ширина беговой дорожки правых колёс.
рисунок протектора шины (для определения этой характеристики на экспертизу должен быть направлен след отображения не меньше определённого размера. Для легкового автомобиля – 60 см.)
В беговой дорожке отображаются следы протектора. Это та часть шины, где находится рисунок, который при вращении колес соприкасается с дорогой. По характеру отобразившегося в следе рисунка протектора и ширине беговой дорожки, руководствуясь специальными таблицами, можно определить модели шин, а также модели автомашин, мотоциклов, на которых такие шины устанавливаются.
Кроме того, установить марку автомашины возможно, если известен наружный диаметр колеса. Сделать это можно только при условии, если какая-либо особенность протектора (след вулканизации, повреждение протектора, трещина, застрявший в углублениях протектора камень и т.п.) отчетливо повторилась в отпечатке на протяжении нескольких оборотов колеса. При этом измеряют расстояние между серединами двух последовательных отображений индивидуальной особенности. Наружный диаметр шины рассчитывают по формуле
где D — наружный диаметр шины; S— длина окружной шины; π = 3,14; 1,1 — коэффициент прогиба шины.
Следы ходовой части
В зависимости от свойств следовоспринимающей поверхности следы ходовой части могут быть поверхностными и объемными. Поверхностные, в свою очередь, делятся на следы наслоения (автомобиль проехал по луже, а затем по сухому асфальту) и отслоения (след на загрязненной поверхности). Следы наслоения могут быть позитивными (оставлены окрашенными выступающими частями) и негативными (от частиц грязи, застрявших в углублениях между грунтозацепами колеса).
Объемные следы образуются в результате остаточной деформации грунта (глины, песка, рыхлой земли) и способны передавать не только объемную копию (модель) беговой части протектора, но и данные о боковых его частях.
Колея
Следы беговой дорожки, оставленные колесами, расположенными на одной оси, составляют колею. По ширине колеи можно установить тип транспортного средства (например, автомобиль — легковой или грузовой). Ширина колеи является признаком, характерным либо для определенного типа транспортного средства, либо для транспортных средств нескольких моделей, принадлежащих к одному типу. Ширина колеи измеряется от середины одной дорожки до середины другой. При наличии следов спаренных колес измеряется расстояние между просветами задних спаренных колес, расположенных на одной оси.
База автомобиля (колёсная база автомобился) — это расстояние между осями передних и задних колес. Базу автомобиля замеряют по следам остановки (глубокие следы в грунте, проталины на снегу) или в том месте, где автомобиль разворачивался с применением заднего хода: между концами следов передних и задних шин при первой остановке и между концами следов задних и передних шин при второй остановке. При следах «юза» передних и задних колес до полной его остановки база автомобиля измеряется между концами следов «юза» передних и задних колес.
Определение понятия «юз» в автомобилях
Юз в автомобильном сленге означает использованный автомобиль, т.е. автомобиль, который уже был в употреблении. Часто такие автомобили продаются, например, через специализированные сайты в интернете или автомобильные аукционы. У таких автомобилей обычно уже имеется пробег, хотя иногда встречаются и юзы с минимальным пробегом.
При покупке юза важно учитывать его состояние и историю эксплуатации. Часто юзы продаются без гарантии, поэтому необходимо быть очень внимательным и провести тщательный осмотр автомобиля, например, в компании эксперта или попросить дилера предоставить историю обслуживания и ремонта
При выборе юза необходимо учитывать следующие факторы:
- пробег;
- внешнее и техническое состояние автомобиля;
- история эксплуатации;
- надежность марки и модели автомобиля.
Хотя юзы имеют свои недостатки, такие автомобили могут быть весьма выгодными при правильном выборе и проверке. Кроме того, покупка юза может быть хорошим вариантом для тех, кто желает сэкономить на покупке автомобиля и не прочь вложить дополнительные средства в его обслуживание и ремонт.
Основные причины возникновения «юзов»
В терминологии автомобильных экспертов «юзы» отнюдь не являются чем-то новым и необычным. Именно этим словом в обиходе обозначаются мелкие царапины, сколы, трещины и другие повреждения лакокрасочного покрытия кузова и элементов кузова автомобиля. Причем, такие царапины и сколы, как правило, возникают на машинах в результате эксплуатации, а не в период их производства.
Зачастую повреждения кузова появляются незаметно для владельца автомобиля, ведь для образования «юзов» зачастую достаточно просто открыть дверцу машины неправильно, тронуться рукой за автомобиль при прохождении узкого участка дороги или вести машину по грунтовке, на которой попадаются камни и другие острые предметы.
Кроме того, «юзы» могут возникать на автомобиле и в результате действия агрессивных факторов окружающей среды. Например, водители, живущие в городах с особо суровым климатом, знают, что по зимним месяцам «юзы» на их машинах могут появляться и в результате действия реагентов и химических соединений, которыми пересыпаются дороги.
- неправильная эксплуатация;
- воздействие окружающей среды;
- проблемы со стороны других водителей;
- некачественные материалы;
- естественный износ.
Определение понятия юз
Юз (или юзом) – сокращенное слово от английского глагола «use», который в переводе на русский означает «использовать» или «употреблять». В сфере компьютерных технологий это понятие обозначает процесс использования компьютерной программы или приложения.
К примеру, сказать, что человек работает юзом в Photoshop, означает, что он использует эту программу для создания и редактирования изображений. А если говорить о машине, которая едет юзом, то подразумевается, что она движется с использованием всей своей мощности и скорости.
Юз – это определенный режим работы, который активируется при выполнении определенных действий. Например, можно запустить игру в юз-режиме, который позволит получить наибольшее количество бонусов и победить в игре. Или запустить компьютер в юз-режиме, который ускорит загрузку системы и запущенных приложений.
В целом, понятие юз является важным в сфере компьютерных технологий и помогает пользователям максимально эффективно использовать различные программы и приложения, а также управлять различными устройствами.
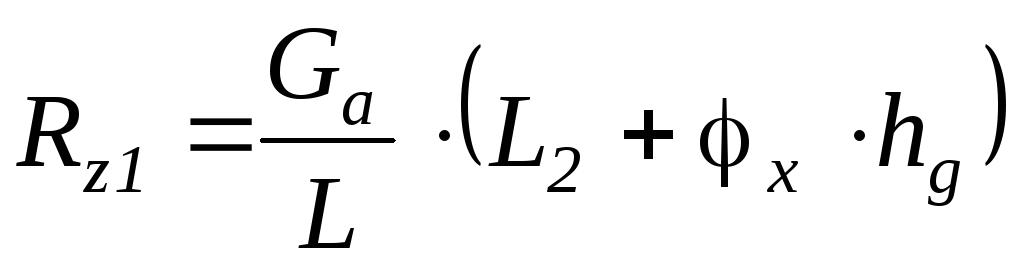
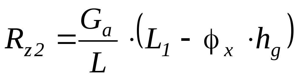
5.4. Тормозные силы, моменты, давление в контуре при торможении юзом.
Сила инерции
автомобиля, которой должна противодействовать
тормозная сила:
.
Реакции на колесах:
Rx1=Rx1max=Rz1
· φх;
Rx2=Rx2max=Rz2
· φх.
Fи
= Rx1
+ Rx2
.
Определим суммарные
нормальные и касательные реакции на
осях автомобиля (сопротивлением воздуха
и его влиянием на перераспределение
нормальных и касательных реакций из-за
малости пренебрегаем):
Сумма моментов
относительно контакта второго колеса
= 0
откуда
.
Сумма моментов
относительно контакта первого колеса
= 0
откуда
.
Откуда:

Изменение
реакций Rx1Rx2Rz1Rz2
в зависимости от φх
У
словия
(рис. 1):
|
Ga= |
15600н |
|
L= |
1,5 |
|
L1= |
0,65м |
|
L2= |
0,85м |
|
hg= |
0,5м |
Условия (рис. 2)
|
Ga= |
15600н |
|
L= |
1,5м |
|
L1= |
0,65м |
|
L2= |
0,85м |
|
hg= |
1м |
Определим необходимый
суммарный тормозной момент, который
необходимо развить в тормозных механизмах
передних колес для доведения их до юза:
,
где р1
– давление в переднем контуре; А1
– передаточная функция, определяемая
конструкцией тормозов (зависимость
тормозного момента от давления в
контуре). В первом приближении считаем
зависимость тормозного момента,
развиваемого в исполнительных механизмах
от давления в приводе линейной).
Отсюда определим
давление, которое необходимо развить
в исполнительных механизмах передних
тормозов для доведения передних колес
до юза:
–давление,
необходимое для доведения передних
тормозов до юза.
.
Аналогично найдем
давление в заднем контуре:
.
Соотношение
давлений в контурах:

.
|
Ga= |
15600н |
|
L= |
1,5м |
|
L1= |
0,825м |
|
L2= |
0,675м |
|
hg= |
0,5м |
|
А2/А1= |
0,5 |

Полученная
характеристика является идеальной и
показывает необходимое соотношение
давлений в исполнительных механизмах
передних и задних колес для одновременного
доведения колес обоих осей до юза. Если
в тормозном приводе не предусмотрено
никаких регулирующих давление механизмов
и главный тормозной непосредственно
связан с рабочими цилиндрами, то давление
в исполнительных механизмах передних
и задних тормозов всегда будет одинаковым,
т.е. будет характеризоваться прямой
линией. Таким образом, идеальная и
реальная при отсутствии регулирующих
механизмов) характеристики совпадают
только в одной точке, т.е. для данного
автомобиля при заданной развесовке
одновременно до юза будут доведены
колеса обеих осей только на одной дороге
с характерным значением коэффициента
сцепления. Н дорогах с меньшим сцеплением
раньше в юз попадут колеса передней
оси, а на дорогах с большим сцеплением
– колеса задней оси.
Колеса, доведенные
до юза, не способны воспринимать боковые
нагрузки: Любое внешнее воздействие
приводит к заносу.
При опережающем
юзе передних колес автомобиль движется
не управляемо, но устойчиво прямолинейно.
При опережающем
юзе задних колес автомобиль попадает
в прогрессирующий занос, что означает
потерю устойчивости.
Несовпадение
идеальной и реальной характеристик
распределения давлений в зоне малых
коэффициентов сцепления можно считать
допустимым, так как в процессе экстренного
торможения (а именно в этом случае колеса
автомобиля доводятся до полного юза)
главная задача – остановить автомобиль
на полосе движения, а опережающий юз
колес передней оси ведет к устойчивому
прямолинейному движению.
Несовпадениеидеальной
и реальной характеристик распределения
давлений в зоне больших коэффициентов
сцепления абсолютно недопустимо, так
как прогрессирующий занос, возникающий
в этом случае, является причиной потери
полосы движения в процессе экстренного
торможения и приводит к большинству
аварий с тяжелыми последствиями при
экстренном торможении.
Меры предупреждения возникновения юза в автомобиле
Регулярное обслуживание
Один из наиболее важных способов предотвращения юза в автомобиле — это регулярное техническое обслуживание. Автомобиль должен регулярно проходить технический осмотр, после которого нужно устранять все выявленные проблемы. Не следует игнорировать небольшие неисправности, так как это может привести к более серьезным проблемам в дальнейшем.
Аккуратное вождение
Юз может возникнуть из-за интенсивного и неравномерного вождения. Поэтому необходимо аккуратно и внимательно обращаться с автомобилем, стараясь избегать резких стопов и поворотов. Не следует гнаться за короткими сроками и искусственно увеличивать скорость движения.
Правильный выбор моторного масла
Подходящее масло и его регулярная замена могут способствовать снижению риска возникновения юза
Важно выбрать масло, соответствующее рекомендациям завода-изготовителя автомобиля и правильно заменять его в соответствии со сроками и условиями эксплуатации автомобиля
Замена расходных материалов
Правильная замена расходных материалов, таких как колодки тормозов, масляный и воздушный фильтры, может помочь предотвратить юз. Регулярная замена данных деталей поможет сохранить эффективность работы автомобиля и снизить риск недостаточной эффективности.
Использование специальных присадок в моторном масле
Использование специальных присадок может помочь предотвратить юз. Они могут снизить трение деталей внутри двигателя, что в свою очередь снижает риск возникновения юза. Следует выбирать присадки, соответствующие требованиям и рекомендациям производителя масла.
Торможение в повороте

При прохождении поворотов тормозами лучше не пользоваться. Скорость необходимо сбрасывать ещё до начала манёвра. От быстрого входа поворот быстрее не пройти всё равно придётся сбрасывать скорость и даже больше чем при правильном вхождении в поворот. Но если уже так сложилось, что скорость в вираже превышает допустимую, то необходимо задействовать два тормоза одновременно. Это позволит избежать сноса, как передней оси, так и задней.
При торможении в повороте необходимо учитывать тот факт, что в повороте колёса велосипеда находятся в разгруженном состоянии. Чем меньшая масса велосипеда и велосипедиста темь меньшее тормозное усилие необходимо прикладывать для снижения скорости в повороте.
УРОК
1) Для начала ребята нужно понимать — что чудес не бывает и не всегда ABS вас может спасти. Например — зимой на ледяной дороге при экстремальном торможении не 100% защиты. ДА и шипы вас тоже не спасут. Поэтому первое правило в экстремальных условиях (снег, дождь) обязательно держим увеличенную дистанцию ( , там все подробно).

2) В таких ситуациях не советую разгоняться до предельных скоростей, опять же эта система может вас не спасти. Повторюсь — чудес не бывает.

3) Для тех, кто пересаживается с обычных автомобилей на варианты с АБС. Уж так повелось — что мы привыкли останавливать машину либо накатом (легко блокируем колеса – отпускаем – опять блокируем и т.д., не уводя автомобиль в занос), либо скоростью, понижаем передачу (я про зимнее вождение). Ребята тут это не прокатит – блокировка тут исключена, потому как ABS не даст вам заблокировать колеса, педаль начнет сопротивляться нажатию, издавая специфические звуки. ДА и если у вас автомат – то скоростью вы также не затормозите.

4) новичков и тех, кто только что «пересел» кроется в том что – при сопротивлении педали нажатию, они сразу бросают ее нажимать. Таким образом, только усугубляя свою ситуацию, ведь машина не встала. ДЕЛАТЬ ЭТОГО НЕ В КОЕМ СЛУЧАИ — НЕЛЬЗЯ
. Нужно давить педаль изо всех сил — пока машина не остановится. А характерный звук и сопротивление педали, вас пугать не должно именно так работает АБС, она не дает вам заблокировать колеса.
5) Если применительно к автомату, то принцип действия такой – едем правая нога на педали газа

– при необходимости экстренного торможения — ногу просто убираем с газа и давим на тормоз изо всех сил

С наступлением зимы напряженность на дорогах существенно возрастает, поскольку двигаться по заснеженной и местами обледенелой дороге в «летнем» режиме уже невозможно, а быстро изменить стиль вождения получается далеко не у каждого автовладельца. Ввиду отсутствия постоянного и качественного сцепления колес с дорожным покрытием, торможение, особенно в экстренных ситуациях, может привести к потере контроля над транспортным средством. Поэтому с наступлением холодов следует как минимум сменить агрессивный стиль вождения на более спокойный.
Опытные автовладельцы с многолетним стажем именно так и поступают, начинающие же учатся на своих ошибках. Для того чтобы чувствовать себя более уверенно на скользкой и обледенелой дороге, необходима постоянная практика, поскольку все вместе взятые теоретические советы не позволят обрести требуемый опыт, чувствовать автомобиль, интуитивно чувствовать приближающуюся опасность. При этом следует понимать, что несмотря на оснащение современных автомобилей разнообразными системами, помогающими в управлении, к примеру, ABS, слепо рассчитывать на них не следует.
Как замедлить процесс образования «юзов»
Машина идет юзом, когда водитель интенсивно использует только один режим движения. При этом изнашиваются не все детали двигателя и мотора равномерно, а только те, которые являются самыми нагруженными в данном режиме.
Чтобы замедлить процесс образования юзов, рекомендуется использовать автомобиль разнообразно. Сменяйте режимы движения, стараясь разгоняться и тормозить равномерно. Не злоупотребляйте поездками на короткие расстояния, ведь двигатель не успевает прогреться и участиливается износ мотора, особенно когда на улице холодно.
Другой возможный способ замедления образования юзов – частые замены моторного масла. Чистое масло уменьшает трение деталей между собой и защищает двигатель от износа. Рекомендуется менять масло не реже, чем через каждые 10 000 км пробега.
Также необходимо следить за качеством бензина и временем замены фильтров. Использование некачественного топлива может привести к нарушению работы мотора, а замена фильтров позволяет исключить попадание в мотор сора и мусора.
Наконец, не забывайте обслуживать автомобиль вовремя. Регулярный осмотр и ремонт помогают выявить проблемы во время, устранить их на ранней стадии и предотвратить более серьезные неисправности в будущем.
Какие зоны автомобиля подвержены «юзам»
Юзом называется процесс изнашивания и повреждения автомобиля, который происходит в процессе эксплуатации. При этом некоторые зоны автомобиля подвержены большему износу, в связи с чем холатным отношением к машине или неправильной ездой.
Первая зона, которая становится жертвой юзов, — переднее крыло. Частые кустарники и мелкие камни деформируют крыло, а превышение скорости на неровной дороге может привести к его полному вылету.
Бампер более всего подвержен повреждениям в городских условиях, когда частый маневр в условиях дорожных пробок может привести к соударению с другими автомобилями.
Шины также подвержены быстрому износу при неправильном вождении, особенно на дорогах с плохим покрытием или при превышении скорости.
Подвеска — это чувствительная зона автомобиля и, неудовлетворительное состояние которой может повлечь серьезные проблемы с работой машины, она также страдает от юзов. Эта проблема часто возникает при частой езде на неровной дороге.
Это не полный список зон, где юзы могут повредить автомобиль, однако именно эти зоны наиболее часто подвергаются воздействию. Чтобы избежать этого, необходимо правильно вести себя на дороге и регулярно проходить техосмотр. Ремонт необходимо производить незамедлительно, чтобы избежать серьезных последствий и неукоснительно следовать рекомендациям производителя по уходу за автомобилем.
Торможение на мокром асфальте

Велосипед не самое лучшее транспортное средство для катания под дождём и, естественно, что специально в дождь на велосипеде никто выезжать не станет. Но если же в пути застал дождь надо быть готовым к такому повороту событий.
На мокром покрытии сцепление шин с асфальтовым покрытием становится намного меньше по сравнению с сухой погодой. Самое опасное время — это первые минуты дождя. Потоки воды ещё не успели смыть всю пыль с дороги, а только превратили её в скользкую субстанцию. Это надо учитывать при выборе скоростного режима и маневрирования. Также намокшие тормозные механизмы теряют свою эффективность.
Достаточно эффективными в дождь остаются только дисковые тормоза. Торможение в дождь, как и любой другой манёвр, надо планировать заранее. Перед самим торможением необходимо несколькими короткими, несильными нажатиями на ручки тормозов просушить колодки. Такая несложная операция поможет вернуть тормозным колодкам первоначальные свойства. По крайней мере, если не вернёт на все сто процентов, то максимально улучшить тормозные свойства.
Из-за уменьшения сцепных свойств шин с дорогой при использовании переднего тормоза можно не рассчитать с тормозным усилием. Вследствие чего произойдёт блокировка переднего колеса и падения не избежать. Поэтому торможение на мокрой дороге рекомендуется начинать с заднего тормоза.
Даже если произойдёт блокировка заднего колеса и велосипед пойдёт юзом справиться с заносом заднего колеса возможно. Если становиться очевидным, что сейчас произойдёт блокировка колёс надо перебороть себя и немного распустить тормоза. Затем плавно добавлять тормозное усилие.
Для более эффективного снижения скорости задним тормозом велосипедисту необходимо переместить центр тяжести своего тела с передней оси на заднюю ось велосипеда. Этого можно достичь, привстав с седла и переместив тело немного назад, педали при этом нужно держать параллельно дороге. Таким образом, создавая дополнительную нагрузку на заднее колесо и увеличивая силу сцепления с дорогой. Увеличить сцепные свойства шин с дорогой можно приспусти немного шины.
Также необходимо учитывать, что во время дождя становятся скользкими линии дорожной разметки и крышки люков канализации. По возможности надо избегать торможения на них
Если же тормозить необходимо, то делать это надо с предельной осторожностью. Учитывая все обстоятельства в дождливую погоду необходимо пользоваться двумя тормозами – передним и задним
Начиная процесс снижения скорости, задним тормозом постепенно добавляя усилие на переднюю тормозную систему
Учитывая все обстоятельства в дождливую погоду необходимо пользоваться двумя тормозами – передним и задним. Начиная процесс снижения скорости, задним тормозом постепенно добавляя усилие на переднюю тормозную систему.
Отдельно надо сказать о торможении в луже. Лужа сама по себе таит много опасностей для велосипедиста. Под ней могут скрываться камни ямы и всякое такое. При попадании велосипедиста в лужу торможение произойдёт, само собой, из-за увеличившегося сопротивления.
Если велосипедист не будет готов, то его ждёт малоприятный полет через руль. Для снижения эффекта от резкого изменения скорости необходимо перенести центр тяжести велосипедиста максимально назад и если позволяет конструкция велосипеда вниз. Погасив первый эффект от попадания в лужу можно начинать процесс торможения. Не меняя расположения центра тяжести тела, плавно короткими дозированными движениями, выжимаем рукоятку заднего тормоза.




























